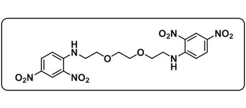
| 英文名称 | DNP-PEG2-DNP |
|---|---|
| 分子量 | 480.39 |
| 分子式 | C18H20N6O10 |
| 存储条件 | -20°冷冻保存,惰性气体保护 |
| 保存时间 | 一年 |
| 状态 | 无色至淡黄色油状液体 |

作者:瑞禧生物 发布时间:2022-09-02 15:48:48 次浏览
| 英文名称 | DNP-PEG2-DNP |
|---|---|
| 分子量 | 480.39 |
| 分子式 | C18H20N6O10 |
| 存储条件 | -20°冷冻保存,惰性气体保护 |
| 保存时间 | 一年 |
| 状态 | 无色至淡黄色油状液体 |

西安瑞禧生物技术有限公司 版权所有 备案号:陕ICP备2022003112号 网站地图